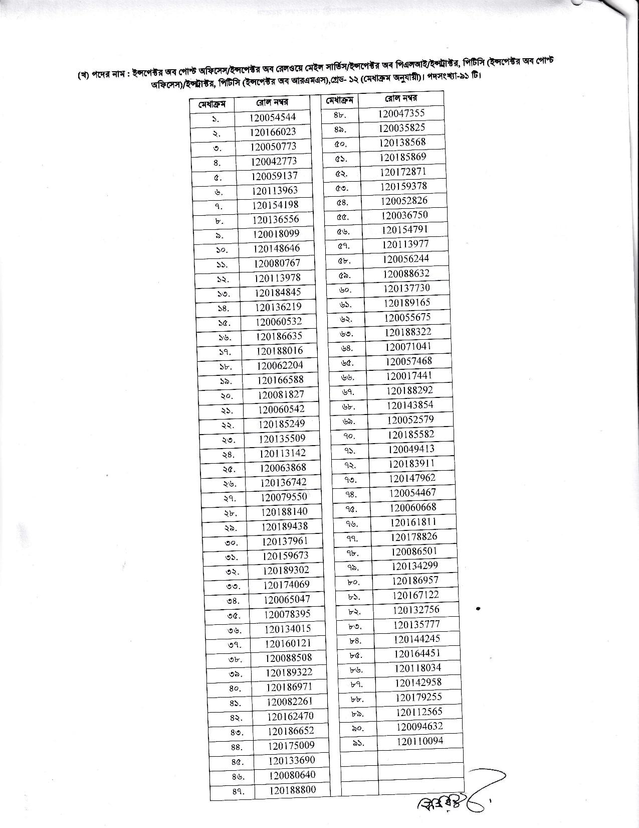
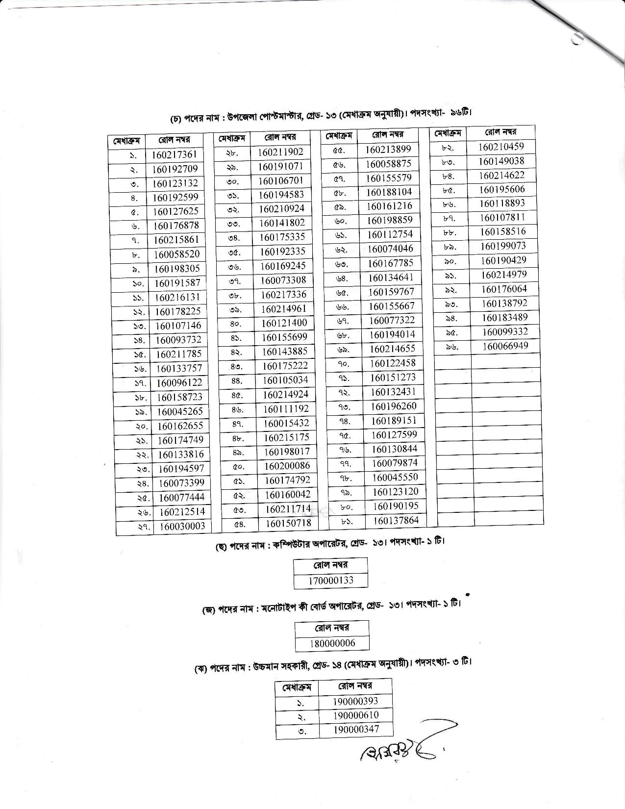
ডাক বিভাগের বিভিন্ন পদে চূড়ান্তভাবে নির্বাচিত ২৪৩ জনের তালিকা প্রকাশ

প্রিয় চাকরির প্রত্যাশীগণ, আপনারা জেনে আনন্দিত হবেন যে, ডাক বিভাগের বিভিন্ন পদে চূড়ান্তভাবে নির্বাচিত ২৪৩ জনের তালিকা প্রকাশ করেছে বাংলাদেশ ডাক বিভাগ। প্রকাশিত বিজ্ঞপ্তি অনুযায়ী, ডাক অধিদপ্তর, ডাক মুদ্রণ দপ্তর (টঙ্গী), এবং আন্তর্জাতিক হিসাবরক্ষণ অফিসের অধীন ১১তম থেকে ১৬তম গ্রেডভুক্ত পদে মোট ২৪৩ জন প্রার্থীকে চূড়ান্তভাবে নিয়োগের জন্য নির্বাচিত করা হয়েছে।
ডাক বিভাগের বিভিন্ন পদে চূড়ান্তভাবে নির্বাচিত ২৪৩ জনের তালিকা দেখুন






বিশেষ নির্দেশনা:
- নিয়োগ সংক্রান্ত পরবর্তী কার্যক্রম সংশ্লিষ্ট কার্যালয় কর্তৃক পরিচালিত হবে।
- প্রার্থীদের যথাসময়ে নির্ধারিত কাগজপত্রসহ উপস্থিত হতে হবে — বিস্তারিত সময় ও স্থান পরবর্তীতে জানানো হবে।


